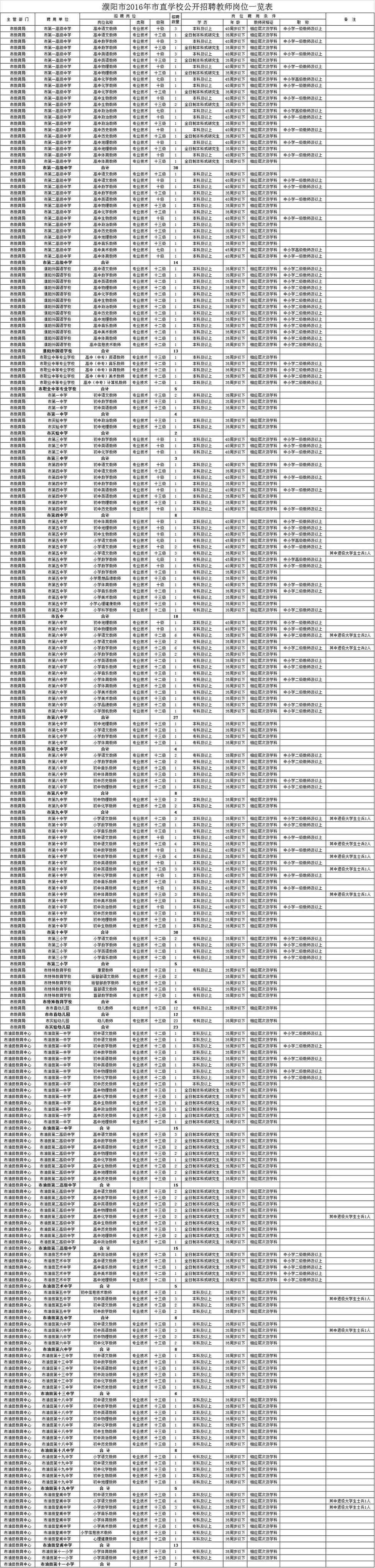
濮阳市2016年市直学校公开招聘教师公告 为落实市委市政府关于加快我市教育事业发展的有关精神,按照《河南省事业单位公开招聘工作规程》的有关规定,决定面向社会公开招聘316名市直学校教师。现公告如下: 一、招聘原则 坚持德才兼备的用人标准,坚持公开、平等、竞争、择优的原则,采取考试与考核相结合的办法进行。 二、招聘岗位和数量 招聘教师数量共计316名(市教育局所属学校招聘教师216名,市油田教育中心所属学校招聘教师100名)。其中,面向从我市入伍的普通高等院校大专及以上学历退役士兵定向招聘教师16名。定向招聘岗位因报名人数未达到3:1的比例而递减或取消的名额,相应调整为面向社会招聘名额。 具体招聘岗位、数量见附件《濮阳市2016年市直学校公开招聘教师岗位一览表》。 三、招聘条件和要求 (一)具有下列资格条件的人员可以报考: 1、遵纪守法,品行端正,热爱教育事业; 2、具有所报考岗位相应层次的教师资格证,且所报考岗位学科与教师资格证任教学科相符; 3、报考高中、初中教师岗位须具有大学本科及以上学历,报考小学、幼儿园教师岗位须具有大学专科及以上学历; 4、报考专业技术七级教师岗位的,年龄不超过45周岁(1971年1月1日以后出生),须具有中学高级(或中小学高级)教师及以上职称; 报考专业技术十级教师岗位的,年龄不超过40周岁(1976年1月1日以后出生),其中报考中学岗位须具有中学一级(或中小学一级)教师及以上职称,报考小学、幼儿园教师岗位须具有小学高级(或中小学一级)教师及以上职称; 报考专业技术十二级教师岗位的,年龄不超过35周岁(1981年1月1日以后出生),其中报考中学岗位须具有中学二级(或中小学二级)教师及以上职称,报考小学、幼儿园岗位须具有小学一级(或中小学二级)教师及以上职称; 报考专业技术十三级教师岗位的,不限职称,年龄不超过35周岁(1981年1月1日以后出生); 报考岗位有职称要求的,任职资格证学科应与所报岗位学科相一致; 5、报考特殊教育学校培智部语文、数学教师岗位的,须具有特殊教育专业中师及以上学历,或者具有大学专科及以上学历且具有3年以上特殊教育学校任教经历;报考特殊教育学校盲生部语文、数学教师岗位的,须具有特殊教育盲专业专科及以上学历;报考康复岗位的,须具有康复专业专科及以上学历,不限教师资格证; 6、在编在职人员需经现工作单位及其主管部门同意方可报考(公告发布前,已办理完毕辞职审批手续且未在其它单位入编的属无编人员,已提出辞职申请但未在人社或编制部门办结审批手续的在本次招聘中视为在编在职人员); 7、尚未毕业的2016年应届毕业生报考,需其毕业院校开具毕业生就业推荐函,并在2016年7月31日之前取得报考岗位相应教师资格证、毕业证以及就业报到证; 8、招考岗位面向退役大学生士兵的,报考人员须系从濮阳市入伍或濮阳市籍服役期满的全日制高校毕业生退役士兵; 9、具备从事教育工作所需的身体条件。 (二)有下列情形之一的人员不得报考: 1、刑事处罚期限未满或者涉嫌违法犯罪正在接受调查的; 2、尚未解除党纪、政纪处分或正在接受纪律审查的; 3、曾在公务员招录、事业单位公开招聘考试中被认定有舞弊等严重违反招聘纪律行为的,5年内不得参加本省内各级事业单位公开招聘的; 4、违反国家人口和计划生育政策的; 5、濮阳市本级所属行政事业单位的在编在职人员; 6、高等院校全日制在校学生(2016年应届毕业生除外); 7、国家和省另有规定不得应聘到教师岗位的。 四、招聘程序和方法 (一)发布公告 《濮阳市2016年市直学校公开招聘教师公告》及相关招聘信息在濮阳市人力资源和社会保障局网站()、濮阳市人事考试网()、濮阳教育网()和濮阳市油田教育信息网()发布。 上述网站为本次招聘指定网站。 (二)报名 本次公开招聘采取网上报名的方式进行,报考人员只能选择一个岗位进行报名。具体报名程序如下: 1、提交报名申请 报考人员于2016年5月6日8:00至5月8日18:00登录濮阳市人事考试网(),进入濮阳市2016年度市直学校公开招聘网上报名系统,如实填写报名信息,并上传本人近期免冠正面证件电子照片(红底、蓝底、白底均可,jpg格式,照片宽高比例约为1.3:1.6,大小为130×160像素,30KB以下,最终效果以输出后的大小为准)。 2、查询资格初审结果 报考人员2016年5月6日8:00至5月9日18:00登录濮阳市人事考试网,查询是否通过了资格初审。通过报考资格初审的人员,不能再报考其他岗位。报名期间,未进行报考申请审查或未通过资格初审的,可以改报其他岗位。报名结束后,未进行报考申请审查或未通过资格初审的人员不能再改报其他岗位。报考资料不全或电子照片不符合要求的,报考人员应按要求补充或更换,并及时提交审查。 报考人员对初审意见有异议的,需在5月9日前工作时间内及时与审查单位联系,逾期不予受理。 3、网上缴费 通过报考资格初审的人员,须于2016年5月10日上午12:00前通过濮阳市人事考试网缴纳笔试考务费30元(报考人员须准备好银联卡,开通网上银行功能并存上足够缴费的金额)。未按要求缴费的视为自动放弃报考资格。 (三)资格初审 资格审查贯穿招聘工作全过程。报考人员应认真核对是否符合所选岗位要求的资格条件,凡提供虚假报考信息与材料的,取消其考试、聘用资格。 通过资格审查的笔试、面试人数与岗位招聘人数比例不低于3:1(专业技术七级教师岗位不低于2:1)。达不到比例的,该岗位的招聘名额按比例递减直至取消招聘计划。取消岗位招聘计划的,在招聘指定网站公布,报考该岗位的人员不再改报其它岗位。 (四)笔试 报考专业技术十级、十二级或十三级教师岗位的,采取笔试、面试相结合的方式进行。报考专业技术七级教师岗位的,不再进行笔试。 笔试为闭卷考试,设一门综合试卷,考试内容为教育学、心理学、教育法规、新课程理论和教师道德修养等教育综合知识,以及所报考学科的专业知识。笔试成绩满分为100分。 服务期满的大学生村干部、服务期满考核合格的“三支一扶”大学生笔试成绩加5分。符合加分条件的人员,应于笔试结束2日内携带相关证明材料到濮阳市教育局行政服务大厅审验登记,逾期不再受理。 笔试时间为2016年5月21日上午9:00—11:00。报考人员需携带笔试准考证,同时持本人有效二代居民身份证参加笔试。已确认缴费成功的报考人员于2016年5月18日8:00至5月21日9:30期间登录濮阳市人事考试网打印笔试准考证(A4纸)。具体考试时间和地点以准考证为准。笔试成绩在招聘指定网站公布。 (五)现场资格复审 笔试结束后,按照笔试成绩确定拟进入面试的报考人员,同时对这些人员采取现场审查方式进行资格复审。复审人选为报考专业技术七级岗位全部人员,报考专业技术十级、十二级、十三级岗位的人员按岗位招聘计划1:3的比例进行资格复审。资格复审的人员名单、时间、地点在招聘指定网站公布。 资格复审需报考人员本人携带以下材料:报名表一式2份(从报名网站打印);与报名上传照片同版的近期2寸彩色免冠正面照片2张;本人有效二代身份证(或有效期内二代临时身份证)原件及复印件各1份;学历证书、学历认证报告(或教育部学历证书电子注册备案表)原件及复印件各1份;教师资格证原件及复印件各1份;报考岗位有职称要求的,需提供专业技术职务任职资格证原件及复印件1份;在编在职人员(含已辞职但手续未办结人员)需提供工作单位及其主管部门同意报考的证明(经办人签字并加盖公章);2016年高校应届毕业生需提供毕业院校出具的毕业生就业推荐函;报考退役大学生士兵定向招聘岗位的,须持以上证件材料及本人户口本、入伍通知书和退伍证原件及复印件各1份。 资格复审确认合格的考生,请妥善保管报名表。经资格复审不合格或未在规定时间内到指定地点进行现场资格复审的考生,取消面试资格。 (六)面试 进入面试的人员、面试的时间和地点在招聘指定网站公布。参加面试需携带本人有效二代身份证和审核通过的报名表。 面试采取试讲形式,内容主要依据濮阳市市直中小学、幼儿园现行教材制定。面试成绩满分为100分。 面试时,如有缺考人员造成该岗位形不成竞争的,该岗位面试人员的面试成绩应达到其所在面试小组使用同一套面试题本的面试人员平均分。 (七)考试总成绩 考试总成绩采取百分制。报考专业技术十级、十二级、十三级教师岗位的,考试总成绩=笔试成绩×50%+面试成绩×50%。报考专业技术七级教师岗位的,面试成绩即为考试总成绩(不再折算)。 (八)体检 根据考试总成绩从高分到低分的顺序,按岗位拟招聘人数1:1的比例确定参加体检人员名单。同一岗位考生总成绩出现末位并列的,以面试成绩高的进入体检环节。体检按照河南省教师资格申请人员体格检查标准执行,费用由考生自理。参加体检的人员、时间、地点在招聘指定网站公布。 对体检结果有疑问的,可在接到体检结论7日内根据体检的有关规定提出复检。复检只能进行一次,体检结果以复检结论为准。 体检对象放弃体检或体检不合格出现招聘岗位缺额的,不再递补。 (九)考察 考察工作由人社、教育等部门及用人单位按照有关规定组织实施,根据考试、体检结果等额确定考察人选。 考察内容主要是思想政治素质、道德品质以及与报考岗位相关的业务能力和工作实绩等。考察对象需提供县级及以上计划生育部门出具的无违反计划生育政策的证明、户籍所在地派出所出具的无违法犯罪记录的证明,已就业的需提供原工作单位出具的近3年来工作表现。考察期间不能按时提供人事档案和相关手续的,视为自愿放弃。 考察阶段因考察不合格或自愿放弃出现招聘岗位缺额的不再递补。 (十)公示聘用 经考察合格的人员确定为拟聘用人员。拟聘用人员名单在招聘指定网站公示7个工作日。公示无异议后按照事业单位聘用人员程序办理审批手续。公示期间有影响聘用问题的,查实后取消聘用资格。被聘用的人员应在规定时间内到用人单位报到,逾期不报到的,取消聘用资格。取消聘用资格出现的岗位缺额不再递补。 新聘用人员试用期为一年。试用期自报到之日起开始计算,工资福利待遇按国家有关规定执行。试用期满后由用人单位对新聘用人员进行综合考核,不合格者取消聘用资格。 五、其它事项 (二)报考人员应认真阅读并全面正确理解关于本次招聘的公告内容,严格按照招聘公告的规定参加报名和考试。若在报名资格上弄虚作假或违反考试纪律的,取消聘用资格,并记入诚信档案。凡在报名资格条件上弄虚作假,或在招聘考试中被认定有舞弊等违反招聘纪律行为的人员,5年内不得参加本市内各级事业单位公开招聘,情节严重的,严肃追究责任。 (三)本次公开招聘教师不指定具体考试范围和考试辅导用书,不举办也不委托任何机构举办考试辅导培训班。 本公告未尽事宜按照国家、省、市相关文件的规定执行,由濮阳市2016年市直学校公开招聘教师工作领导小组负责解释。 咨询电话:市教育局 市油田教育中心 市人社局 监督电话:市纪检委0393-12388 市教育局 市油田教育中心 市人社局
上一篇
下一篇